太阳是距离地球最近的恒星,对地球上的昼夜和季节变换,大气气候变化,植物的生长等现象,都起着决定性的作用。因此,太阳与人类的活动有着密切的联系,研究太阳引发的日地空间活动对地球的影响,对于人类的生产和生活有着至关重要的意义。
近年来,随着科技的发展和人类社会的进步,“空间天气”这一概念越来越受到人们的广泛关注。空间天气指的是短时间内日地空间 (包括太阳大气,太阳风,行星际空间,磁层,电离层和热层等) 的状态。剧烈的太阳爆发活动可能会产生强烈的太阳风暴,从而引起恶劣的空间天气现象,对人造卫星运行、无线电通信、导航以及电力传输网络产生强烈的冲击。比如著名的 1989 年加拿大魁北克事件,就是由于一次剧烈的太阳风暴引起了强烈的地磁暴,导致电网中的变压器被损坏,从而造成魁北克省全省停电,600余万居民在黑暗中度过了长达 9 小时,造成的经济损失难以估量。因此,研究太阳爆发活动的驱动机制从而揭示太阳风暴的起源,对于预报空间天气灾害,保护国民生产安全具有重要的意义。
对于太阳爆发活动的驱动过程,可以从系统的平衡性及失稳过程的角度构建物理图像。图1中的黑色曲线给出了一个典型的太阳爆发活动过程中,爆发结构的高度随时间的演化过程。可以看到,在相当长的一段时间内,爆发结构基本处于以极其缓慢的速度匀速上升的状态,图1中的插图a和插图b给出了这一期间爆发结构(对应于图中太阳边缘凸起的亮的结构,称为日珥)的观测图像。对于这种极其缓慢匀速上升的状态,根据牛顿第一定律可知,此时爆发的结构基本处于平衡状态,系统中的合力为0。然而,图1中的高度曲线表明,这种平衡状态不能一直维持下去,在经过了相当长的时间之后,爆发结构离开太阳表面,并快速抛射出去,图1中的插图c就是爆发过程中的观测图像。显然,在爆发发生之后,日珥结构的运动状态发生了改变,则由牛顿第二定律可知,日珥一定受到了力的作用;而由前边的分析可知,在爆发发生前,日珥处于平衡状态,系统中合力为0。因此,要想发生爆发活动,必然要打破系统之前所处的平衡状态,使得日珥系统受到不为0的合力,并在力的作用下开始加速运动并最终产生爆发。通过以上的分析可以看到,太阳爆发活动的触发过程必然对应于爆发结构所处系统的失衡过程:只有发生失衡,系统中才会出现力,运动状态才能发生改变;否则,系统始终处于平衡状态,则系统的运动状态不会发生改变,爆发过程自然无从谈起。因此,可以从平衡性的角度,对太阳爆发的驱动过程进行一般性的分析和讨论,这种分析方法就被称为太阳爆发的灾变理论。

图1 典型太阳爆发活动的演化过程:从平衡态经由失衡触发爆发过程
为了探究太阳爆发活动的驱动机制,揭示太阳风暴的起源,中国科学技术大学地球和空间科学学院空间科学与技术专业副教授张全浩及其研究团队开展了大量深入系统的理论研究。张全浩2017年毕业于中国科学技术大学获博士学位,并留校工作至今,主要研究方向为太阳和行星际空间的观测与数值模拟研究,共发表SCI论文30余篇,曾获中国科学院院长特别奖,中国科学院优秀博士学位论文,并入选第六届中国科协“青年人才托举工程”,所提出的太阳爆发模型被日地物理领域权威综述期刊Space Science Review列为驱动太阳爆发的标准模型之一,相关成果还曾被国际日地物理科学委员会(SCOSTEP)选为青年科学家亮点成果。
围绕太阳爆发的灾变理论,张全浩及其研究团队主要通过观测数据分析以及数值模拟相结合开展研究。针对典型的太阳爆发活动的观测现象,分析各种扰动过程对于日珥等太阳特征结构平衡状态的影响,并在此基础上,结合数值模拟研究,分析这些太阳特征结构的失衡过程,探究太阳爆发的灾变理论图像。
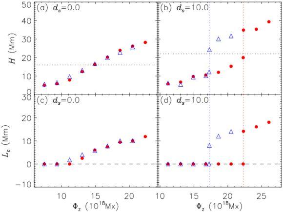
由于太阳大气中的磁场是太阳爆发活动的主要能量来源,因此张全浩及其研究团队围绕太阳磁场系统的灾变演化规律,开展了一系列数值模拟研究,不仅揭示了太阳上特征磁结构的磁通量在失衡引起爆发的过程中所起到的重要作用,而且发现了不同类别不同条件下的太阳磁场系统,其灾变演化规律可能截然不同。例如,图2所展示的就是太阳光球层磁源间隔很小(ds=0.0)和较大(ds=10.0)时的两种太阳磁场系统的演化规律:当光球层磁源间隔很小时,整个系统连续演化,不会产生爆发;而当磁源间隔较大时,系统的演化不连续,间断的位置就对应于太阳爆发的驱动过程。张全浩及其研究团队的一系列研究结果表明,太阳上磁场系统的灾变演化规律较为复杂,会受到多种因素的制约,而这些因素与观测得到的太阳物理参数间有着密切的内在联系,因而这些结果对于揭示驱动太阳爆发的物理图像,推动太阳爆发活动预报的发展具有重要意义。

图2 太阳上不同类型磁场系统表现出截然不同的灾变演化特性
除了太阳磁场相关的参数特征外,太阳上日珥等特征结构的演化还与很多其他物理参数相关,而这些物理参数的演化,同样能够驱动太阳爆发活动。图3所展示的是张全浩及其研究团队针对太阳日珥质量改变所引起的系统平衡态演化过程进行数值模拟所得到的结果。从典型的太阳上的拓扑位形(插图a)出发,构建日珥系统(插图b),并改变日珥的质量,计算系统的平衡态高度(插图g)和磁能(插图h)的演化。有别于以往传统的灾变理论研究结果,这里的模拟结果表明,系统的平衡态能够发生两种跳变,一种是向上的跳变,如图3中的插图c和插图d所示;另一种是向下的跳变,如图3中的插图e和插图f所示。这两种截然不同的跳变对应于不同的灾变过程,从而对应于实际的太阳上不同类别的演化和爆发过程。后续的一系列研究表明,这种两类灾变相互耦合,在太阳特征爆发结构中普遍存在。因此,基于两类灾变耦合的理论研究成果克服了传统的灾变理论难以解释束缚型爆发过程的局限性,从而很好的拓展了太阳爆发活动的理论框架。

图3 太阳特征结构的质量变化所引起的不同类别的爆发活动
近年来,我国深空探测事业处于飞速发展中,载人航天、探月工程、火星探测相继成功发射,未来更进一步的深空探测计划也正处于紧锣密鼓的论证推进中。在这一背景下,对于我国自主的日地空间天气乃至行星空间天气安全的保障,也提出了日益迫切的高标准要求。相信在我国空间科学与技术领域广大科研工作者的通力合作下,未来我国空间天气研究及业务水平必将进一步取得飞跃性发展,从而推动我国真正实现从航天大国向航天强国的转变。(文/李杰)

